Local Adaptation to Climate Facilitates a Global Invasion: Preprint
https://www.biorxiv.org/content/10.1101/2024.09.12.612725v2
Phenological Sensitivity of Bromus tectorum Genotypes Depends on Current and Source Environments
https://esajournals.onlinelibrary.wiley.com/doi/pdfdirect/10.1002/ecy.70025
Spatial Knockoff Bayesian Variable Selection in Genome-Wide Association Studies
https://arxiv.org/pdf/2408.10401
The Value of Long-term Ecological Research for Evolutionary Insights
https://www.nature.com/articles/s41559-024-02464-y
Cohort Marsh Equilibrium Model (CMEM): History, Mathematics, and Implementation
https://agupubs.onlinelibrary.wiley.com/doi/pdf/10.1029/2023JG007823
The Coastal Carbon Library and Atlas: Open Source Soil Data and Tools Supporting Blue Carbon Research and Policy
https://onlinelibrary.wiley.com/doi/pdf/10.1111/gcb.17098
Complex Eco-Evolutionary Responses of a Foundational Coastal Marsh Plant to Global Change
https://nph.onlinelibrary.wiley.com/doi/10.1111/nph.19117
Rapid Plant Trait Evolution Can Alter Coastal Wetland Resilience to Sea Level Rise
https://www.science.org/doi/10.1126/science.abq0595
Accounting for Variability when Resurrecting Dormant Propagules Substantiates Their Use in Eco-Evolutionary Studies
https://onlinelibrary.wiley.com/doi/pdfdirect/10.1111/eva.13316
Plant love Stories
https://www.jstor.org/stable/pdf/26912723.pdf
Co-Rip: A Riparian Vegetation and Corridor Extent Dataset for Colorado River Basin Streams and Rivers
https://www.mdpi.com/2220-9964/7/10/397
The Importance of Growing Up: Juvenile Environment Influences Dispersal of Individuals and Their Neighbors
https://onlinelibrary.wiley.com/doi/pdfdirect/10.1111/ele.13166
Prior Adaptation, Diversity, and Introduction Frequency Mediate the Positive Relationship Between Propagule Pressure and the Initial Success of Founding Populations
https://link.springer.com/article/10.1007/s10530-018-1713-4
Ecoevolutionary Dynamics of Carbon Cycling in the Anthropocene
https://www.sciencedirect.com/science/article/pii/S0169534717303245
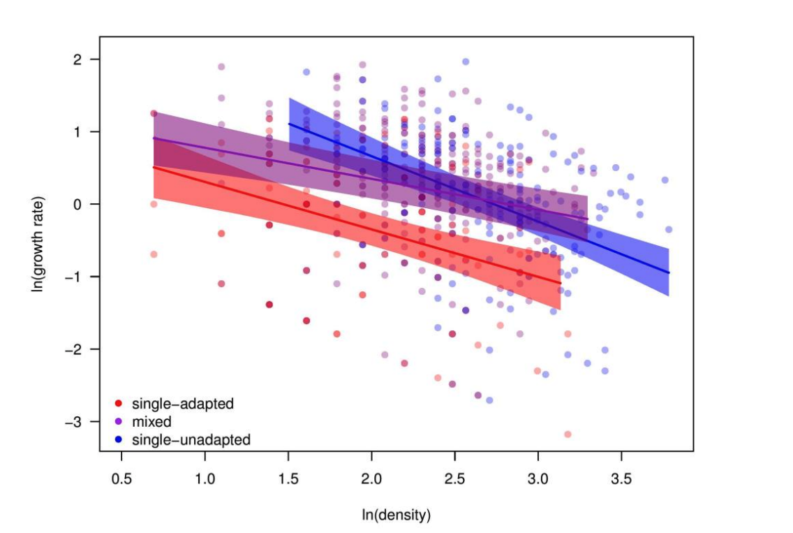
Rapid Adaptive Evolution in Novel Environments Acts as an Architect of Population Range Expansion
https://www.pnas.org/doi/full/10.1073/pnas.1712934114














